Linear Regression
Linear regression consists of finding the best-fitting straight line through the points. The best-fitting line is called a regression line.
Simple Linear Regression
Simple linear regression lives up to its name: it is a very straightforward simple linear approach for predicting a quantitative response Y on the basis of a sin- regression gle predictor variable X.
It assumes that there is approximately a linear relationship between X and Y . Mathematically, we can write this linear relationship as
Y≈β0+β1X
Linear regression attempts to model the relationship between two variables by fitting a linear equation to observed data. One variable is considered to be an explanatory variable, and the other is considered to be a dependent variable.
For example, a modeler might want to relate the weights of individuals to their heights using a linear regression model.
Least-Squares Regression
The most common method for fitting a regression line is the method of least-squares. This method calculates the best-fitting line for the observed data by minimizing the sum of the squares of the vertical deviations from each data point to the line (if a point lies on the fitted line exactly, then its vertical deviation is 0). Because the deviations are first squared, then summed, there are no cancellations between positive and negative values.
Residuals
Once a regression model has been fit to a group of data, examination of the residuals (the deviations from the fitted line to the observed values) allows the modeler to investigate the validity of his or her assumption that a linear relationship exists. Plotting the residuals on the y-axis against the explanatory variable on the x-axis reveals any possible non-linear relationship among the variables, or might alert the modeler to investigate lurking variables.
Standardize
Standard Score
A variable is standardized if it has a mean of 0 and a standard deviation of 1. The transformation from a raw score X to a standard score can be done using the following formula:
where μ is the mean and σ is the standard deviation. Transforming a variable in this way is called "standardizing" the variable. It should be kept in mind that if X is not normally distributed then the transformed variable will not be normally distributed either.
Z score
The number of standard deviations a score is from the mean of its population. The term "standard score" is usually used for normal populations; the terms "Z score" and "normal deviate" should only be used in reference to normal distributions. The transformation from a raw score X to a Z score can be done using the following formula:
Transforming a variable in this way is called "standardizing" the variable. It should be kept in mind that if X is not normally distributed then the transformed variable will not be normally distributed either.
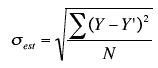
Standard Error of the Estimate
The standard error of the estimate is a measure of the accuracy of predictions. Recall that the regression line is the line that minimizes the sum of squared deviations of prediction (also called the sum of squares error). The standard error of the estimate is closely related to this quantity and is defined below:

where σest is the standard error of the estimate, Y is an actual score, Y' is a predicted score, and N is the number of pairs of scores. The numerator is the sum of squared differences between the actual scores and the predicted scores.
Assumptions
Linearity: The relationship between the two variables is linear.
Homoscedasticity: The variance around the regression line is the same for all values of X.
The errors of prediction are distributed normally. This means that the deviations from the regression line are normally distributed. It does not mean that X or Y is normally distributed.
Last updated